|
|
|
1.
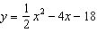
|
Graph the function. 
|
|
|
2.
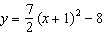
|
Graph the function. Identify the focus. 
|
|
|
3.
|
Write an equation of a parabola with a vertex at the origin and the given
focus. focus: (0,  )
|
|
|
4.
|
Graph the function. 
|
|
|
5.
|
Graph the function. 
|
|
|
6.
|
Find the vertex of the graph of the function. 
a. | (–4, 2) | c. | (–4, 6) | b. | (4, –30) | d. | (4, –26) |
|
|
|
7.
|
Graph the function. 
|
|
|
8.
|
Graph the function. 
|
|
|
9.
|
Tell whether the graph below represents a linear, an exponential,
or a quadratic function. 
a. | linear | b. | exponential | c. | quadratic |
|
|
|
10.
|
Extended Response An electronics store sells about 40 mp3 players per
month for $80 each. For each $3 decrease in price, the store expects to sell 6 more mp3
players. a. Write a quadratic function that represents the
revenue from mp3 player sales.
(Note: revenue = units
sold ´ unit price)
b.
How much should the store charge per mp3 player to maximize monthly revenue?
|